▶ [Kaggle]House Prices Competition으로 이동
캐글의 입문 문제인 House Prices 데이터로 EDA를 해봤습니다.
1. 데이터 탐색
(1) 데이터 기본 속성
- 81개의 변수와 1460개의 관측치로 구성되었습니다.
- ‘SalePrice’는 종속 변수로 보이며, 단위는 달러로 추정됩니다.
(2) 결측치
19개의 변수에 결측 값이 있습니다. 대부분의 경우 NA는 Alley, BsmtQual, FireplaceQu와 같이 해당 변수가 존재하지 않음을 의미합니다.
변수 이름 |
내용 |
타입 |
결측 개수(%) |
Alley |
Type of alley access to property |
범주형(명목) |
1369 (94%) |
MasVnrType |
Masonry veneer type |
범주형(명목) |
8(0.5%) |
MasVnrArea |
Masonry veneer area in square feet |
연속형 |
8(0.5%) |
BsmtQual |
Evaluates the height of the basement |
범주형(순위) |
37(3%) |
BsmtCond |
Evaluates the general condition of the basement |
범주형(순위) |
37(3%) |
BsmtFinType1 |
Rating of basement finished area |
범주형(순위) |
37(3%) |
BsmtExposure |
Refers to walkout or garden level walls |
범주형(순위) |
38(3%) |
BsmtFinType2 |
Rating of basement finished area (if multiple types) |
범주형(순위) |
37(3%) |
Electrical |
Electrical system |
범주형(명목) |
38(3%) |
FireplaceQu |
Fireplace quality |
범주형(순위) |
1(0.06%) |
LotFrontage |
the horizontal distance between the side lot lines |
연속형 |
259(18%) |
GarageType |
Garage location |
범주형(명목) |
81(6%) |
GarageYrBlt |
Year garage was built |
범주형(명목) |
|
GarageFinish |
Interior finish of the garage |
범주형(명목) |
|
GarageCond |
Garage condition |
범주형(순서) |
|
GarageQual |
Garage quality |
범주형(순서) |
|
PoolQC |
Pool quality |
범주형(순서) |
1453(96%) |
Fence |
Fence quality |
범주형(명목) |
1179(81%) |
MiscFeature |
Miscellaneous feature not covered in other categories |
범주형(명목) |
1406(96%) |
[Table 1] 결측치
2. 변수 분류
(1) 수치형(연속성/이산형) 변수
변수 이름 |
내용 |
타입 |
결측 개수 |
이상값(개수) |
1stFlrSF |
First Floor square feet |
연속형 |
0 |
4692(1) |
BedroomAbvGr |
Bedrooms above grade(does not include basement bedrooms) |
이산형 |
0 |
|
BsmtFinSF1 |
Type 1 finished square feet |
연속형 |
0 |
5644(1) |
BsmtFullBath |
Basement full bathrooms |
이산형 |
0 |
|
BsmtUnfSF |
Unfinished square feet of basement area |
연속형 |
0 |
|
Fireplaces |
Number of fireplaces |
연속형 |
0 |
|
FullBath |
Full bathrooms above grade |
이산형 |
0 |
|
GarageArea |
Size of garage in square feet |
연속형 |
0 |
|
GarageCars |
Size of garage in car capacity |
이산형 |
0 |
|
GrLivArea |
Above grade(ground) living area square feet |
연속형 |
0 |
5642(1) |
HalfBath |
Half baths above grade |
이산형 |
0 |
|
LotArea |
Lot size in square feet |
연속형 |
0 |
100000이상(4) |
LotFrontage |
Linear feet of street connected to property |
연속형 |
259 |
313(2) |
OpenPorchSF |
Open porch area in square feet |
연속형 |
0 |
500이상(3) |
SalePrice |
Sale Price |
연속형 |
0 |
700000이상(2) |
TotalBsmtSF |
Total square feet of basement area |
연속형 |
0 |
6110(1) |
TotRmsAbvGrd |
Total rooms above grade(does not include bathrooms) |
이산형 |
0 |
|
[Table 2] 수치형 변수
후에 회귀 모델을 사용해서 SalePrice를 예측하기위해서는 정규분포화가 필요해보입니다.
(2) 범주형(명목형/순위형) 변수
변수 이름 |
내용 |
타입 |
결측 개수 |
Exterior1st |
Exterior covering on house |
명목형 |
0 |
Exterior2st |
Exterior covering on house(if more than one material) |
명목형 |
0 |
Foundation |
Type of foundation |
명목형 |
0 |
GarageType |
Garage location |
명목형 |
81 |
HouseStyle |
Style of dwelling |
명목형 |
0 |
LotConfig |
Lot configuration |
명목형 |
0 |
LotShape |
General shape of property |
명목형 |
0 |
MasVnrType |
Masonry veneer type |
명목형 |
0 |
MSSubClass |
Identifies the type of dwelling involved in the sale |
명목형 |
0 |
MSZoning |
Identifies the general zoning classification tof the sale |
명목형 |
0 |
Neighborhood |
Physical locations within Ames city limits |
명목형 |
0 |
RoofStyle |
Type of roof |
명목형 |
0 |
BsmtExposure |
Refers to walkout or garden level walls |
순서형 |
38 |
BsmtFinType1 |
Rating of basement finished area |
순서형 |
37 |
BsmtQual |
Evaluates the height of the basement |
순서형 |
37 |
ExterCond |
Evaluates the present condition of the material on the exterior |
순서형 |
0 |
ExterQual |
Evaluates the present condition of the material on the exterior |
순서형 |
690 |
FireplaceQu |
Fireplace quality |
순서형 |
81 |
GarageFinish |
Interior finish of the garage |
순서형 |
81 |
GarageYrBlt |
Year garage was built |
순서형 |
0 |
HeatingQC |
Heating quality and condition |
순서형 |
0 |
KitchenQUal |
Kitchen quality |
순서형 |
0 |
MoSold |
Month Sold(MM) |
순서형 |
0 |
OverallCond |
Rates the overall condition of the house |
순서형 |
0 |
OverallQual |
Rates the overall material and finish of the house |
순서형 |
0 |
YearBuilt |
Original construction date |
순서형 |
0 |
YearRemodAdd |
Remodel date(same as construction date if no remodeling or additions) |
순서형 |
0 |
YrSold |
Year Sold(YYYY) |
순서형 |
0 |
[Table 3] 범주형 변수
(3) 특정 값에 치우친 변수
특정한 값에 치우친 변수는 사용하지 않을 가능성이 있기 때문에 별도로 분류하였습니다.
변수 이름 |
내용 |
타입 |
결측 개수 |
치우친값(개수) |
이상값(개수) |
2ndFlrSF |
Second floor square feet |
연속형 |
0 |
0(829) |
|
3SsnPorch |
Three season porch area in square feet |
연속형 |
0 |
0(1436) |
|
BldgType |
Type of dwelling |
명목형 |
0 |
1Farm(1220) |
|
BsmtCond |
Evaluates the general condition of the basement |
순위형 |
37 |
TA(1311) |
|
BsmtFinSF2 |
Type 2 finished square feet |
연속형 |
0 |
0(1293) |
|
BsmtFinType2 |
Rating of basement finished area(if multiple types) |
순위형 |
38 |
Unf(1256) |
|
BsmtHalfBath |
Basement half bathrooms |
이산형 |
0 |
0(1378) |
|
CentralAir |
Central air conditioning |
명목형 |
0 |
Y(1365) |
|
Condition1 |
Proximity to various conditions |
명목형 |
0 |
Norm(1260) |
|
Condition2 |
Proximity to various conditions(if more than one if present) |
명목형 |
0 |
Norm(1445) |
|
Electrical |
Electrical system |
순위형 |
1 |
SBrkr(1334) |
|
EnclosedPorch |
Enclosed porch area in square feet |
연속형 |
0 |
0(1252) |
552(1) |
Functional |
Home functionality(Assume typical unless deductions are warranted) |
명목형 |
0 |
Typ(1360) |
|
GarageCond |
Garage condition |
순위형 |
81 |
TA(1326) |
|
GarageQual |
Garage quality |
순위형 |
81 |
TA(1311) |
|
Heating |
Type of heating |
명목형 |
0 |
GasA(1428) |
|
KitchenAbvGr |
Kitchens above grade |
순위형 |
0 |
1(1392) |
|
LandContour |
Flatness of the property |
순위형 |
0 |
Lvl(1311) |
|
LandSlope |
Slope of property |
순위형 |
0 |
Gtl(1382) |
|
LowQualFinSF |
Low quality finished square feet(all floors) |
연속형 |
0 |
0(1434) |
|
MasVnrArea |
Masonry veneer area in square feet |
연속형 |
8 |
0.0(861) |
|
MiscFeature |
Miscellaneous feature not covered in other categories |
명목형 |
1406 |
Shed(49) |
|
MiscVal |
Value of miscellaneous feature |
연속형 |
0 |
0(1408) |
|
PavedDrive |
Paved driveway |
명목형 |
0 |
P(1340) |
|
PoolArea |
Pool area in square feet |
연속형 |
0 |
0(1453) |
|
RoofMatl |
Roof material |
명목형 |
0 |
CompShg(1434) |
|
SaleCondition |
Condition of sale |
명목형 |
0 |
Normal(1198) |
|
SaleType |
Type of Sale |
명목형 |
0 |
WD(1267) |
|
ScreenPorch |
Screen porch area in square feet |
연속형 |
0 |
0(1344) |
|
Street |
Type of road access to property |
명목형 |
0 |
Pave(1454) |
|
Utilities |
Type of utilities available |
명목형 |
0 |
AllPub(1459) |
|
Alley |
Type of alley access to property |
명목형 |
1369 |
NA |
|
Fence |
Fence quality |
순위형 |
1179 |
NA |
|
PoolQC |
Pool quality |
순위형 |
1453 |
NA |
|
[Table 4] 특정 값에 치우친 변수
3. 관찰
(1) 수치형 변수
- 연속형 변수는 대부분 양의 관계를 가지고 있습니다. 연속형 변수에 대해 상관분석을 진행하면, ‘GrLivArea > GarageArea > 1stFlrSF = TotalBsmtSF’ 변수 순으로 ‘SalePrice’에 높은 영향을 준다는 것을 알 수 있습니다.
- 이산형 변수에 대해 상관분석을 진행하면, ‘GarageCars > FullBath > TotRmsAdvGrd’ 변수 순으로 ‘SalePrice’에 많은 영향을 준다는 것을 알 수 있습니다.
[2] 범주형 변수
- ‘MoSold’ 빈도 그래프를 그려 월별 판매량을 확인하면, 5-7월에 집 판매량이 많은 것을 확인할 수 있습니다. 어떤 유형의 집이 많이 팔렸는지, 공통점이 있는지 확인해볼 필요가 있습니다.
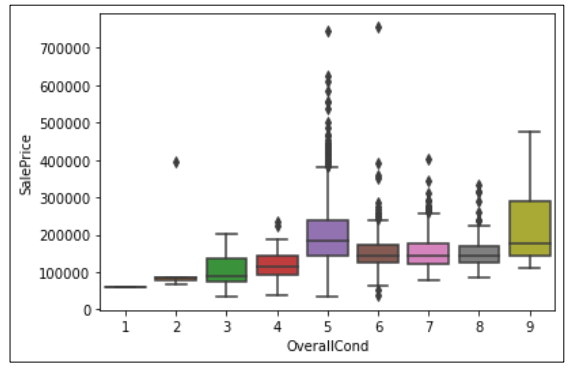
- ‘OverallCond’는 높을 수록 좋은 변수인데, 5점대에 높은 가격대가 형성되어 있습니다. 5점대 집의 특징을 살펴볼 필요가 있습니다.
4. 데이터 전처리
(1) 결측치 처리
변수 이름 |
타입 |
결측 개수(%) |
원인 |
처리 |
Alley |
범주형(명목) |
1369 (94%) |
관련 시설이 없음 |
NA → None |
MasVnrType |
범주형(명목) |
8(0.5%) |
응답 누락 |
NA → 0 |
MasVnrArea |
연속형 |
8(0.5%) |
관련 시설이 없음 |
NA → None |
BsmtQual |
범주형(순위) |
37(3%) |
관련 시설이 없음 |
NA → None |
BsmtCond |
범주형(순위) |
37(3%) |
관련 시설이 없음 |
NA → None |
BsmtFinType1 |
범주형(순위) |
37(3%) |
관련 시설이 없음 |
NA → None |
BsmtFinType2 |
범주형(순위) |
37(3%) |
관련 시설이 없음 |
NA → None |
Electrical |
범주형(명목) |
38(3%) |
알 수 없음 |
NA → SBrkr(91%) |
FireplaceQu |
범주형(순위) |
1(0.06%) |
관련 시설이 없음 |
NA → None |
LotFrontage |
연속형 |
259(18%) |
알 수 없음 |
사용 제외 |
GarageType |
범주형(명목) |
81(6%) |
관련 시설이 없음 |
NA → None |
GarageYrBlt |
범주형(명목) |
관련 시설이 없음 |
NA → None |
|
GarageFinish |
범주형(명목) |
관련 시설이 없음 |
NA → None |
|
GarageCond |
범주형(순서) |
관련 시설이 없음 |
NA → None |
|
GarageQual |
범주형(순서) |
관련 시설이 없음 |
NA → None |
|
PoolQC |
범주형(순서) |
1453(96%) |
관련 시설이 없음 |
NA → None |
Fence |
범주형(명목) |
1179(81%) |
관련 시설이 없음 |
NA → None |
MiscFeature |
범주형(명목) |
1406(96%) |
관련 시설이 없음 |
NA → None |
[Table 5] 결측치 처리 결과
(2) 특정 값에 치우친 변수 제거
변수 이름 |
내용 |
타입 |
결측 개수 |
치우친값(개수) |
이상값(개수) |
2ndFlrSF |
Second floor square feet |
연속형 |
0 |
0(829) |
|
3SsnPorch |
Three season porch area in square feet |
연속형 |
0 |
0(1436) |
|
BldgType |
Type of dwelling |
명목형 |
0 |
1Farm(1220) |
|
BsmtCond |
Evaluates the general condition of the basement |
순위형 |
37 |
TA(1311) |
|
BsmtFinSF2 |
Type 2 finished square feet |
연속형 |
0 |
0(1293) |
|
BsmtFinType2 |
Rating of basement finished area(if multiple types) |
순위형 |
38 |
Unf(1256) |
|
BsmtHalfBath |
Basement half bathrooms |
이산형 |
0 |
0(1378) |
|
CentralAir |
Central air conditioning |
명목형 |
0 |
Y(1365) |
|
Condition1 |
Proximity to various conditions |
명목형 |
0 |
Norm(1260) |
|
Condition2 |
Proximity to various conditions(if more than one if present) |
명목형 |
0 |
Norm(1445) |
|
Electrical |
Electrical system |
순위형 |
1 |
SBrkr(1334) |
|
EnclosedPorch |
Enclosed porch area in square feet |
연속형 |
0 |
0(1252) |
552(1) |
Functional |
Home functionality(Assume typical unless deductions are warranted) |
명목형 |
0 |
Typ(1360) |
|
GarageCond |
Garage condition |
순위형 |
81 |
TA(1326) |
|
GarageQual |
Garage quality |
순위형 |
81 |
TA(1311) |
|
Heating |
Type of heating |
명목형 |
0 |
GasA(1428) |
|
KitchenAbvGr |
Kitchens above grade |
순위형 |
0 |
1(1392) |
|
LandContour |
Flatness of the property |
순위형 |
0 |
Lvl(1311) |
|
LandSlope |
Slope of property |
순위형 |
0 |
Gtl(1382) |
|
LowQualFinSF |
Low quality finished square feet(all floors) |
연속형 |
0 |
0(1434) |
|
MasVnrArea |
Masonry veneer area in square feet |
연속형 |
8 |
0.0(861) |
|
MiscFeature |
Miscellaneous feature not covered in other categories |
명목형 |
1406 |
Shed(49) |
|
MiscVal |
Value of miscellaneous feature |
연속형 |
0 |
0(1408) |
|
PavedDrive |
Paved driveway |
명목형 |
0 |
P(1340) |
|
PoolArea |
Pool area in square feet |
연속형 |
0 |
0(1453) |
|
RoofMatl |
Roof material |
명목형 |
0 |
CompShg(1434) |
|
SaleCondition |
Condition of sale |
명목형 |
0 |
Normal(1198) |
|
SaleType |
Type of Sale |
명목형 |
0 |
WD(1267) |
|
ScreenPorch |
Screen porch area in square feet |
연속형 |
0 |
0(1344) |
|
Street |
Type of road access to property |
명목형 |
0 |
Pave(1454) |
|
Utilities |
Type of utilities available |
명목형 |
0 |
AllPub(1459) |
|
Alley |
Type of alley access to property |
명목형 |
1369 |
NA |
|
Fence |
Fence quality |
순위형 |
1179 |
NA |
|
PoolQC |
Pool quality |
순위형 |
1453 |
NA |
|
[Table 6] 특정 값에 치우친 변수 제거 결과
(3) 데이터 변환
- 아래의 변수들은 수치형 변수인데, 범주형 변수로 되어있어서 변환이 필요합니다.
변수 이름 |
내용 |
특이 사항 |
ExterQual |
Evaluates the quality of the material on the exterior |
|
ExterCond |
Evaluates the present condition of the material on the exterior |
|
BsmtQual |
Evaluates the height of the basement |
|
BsmtCond |
Evaluates the general condition of the basement |
|
BsmtFinType1 |
Rating of basement finished area |
|
BsmtFinType2 |
Rating of basement finished area (if multiple types) |
|
HeatingQC |
Heating quality and condition |
|
KitchenQual |
Kitchen quality |
|
FireplaceQual |
Fireplace quality |
|
GarageFinish |
Interior finish of the garage |
|
GarageQual |
Garage quality |
|
GarageCond |
Garage condition |
|
PoolQC |
Pool quality |
|
Fence |
Fence quality |
두 개 변수로 분리 가능 |
[Table 7] 변환 필요 데이터
- 아래의 변수들은 하나로 병합이 가능합니다.
변수 이름 |
내용 |
BsmtFullBath |
Basement full bathrooms |
BsmtHalfBath |
Basement half bathrooms |
[Table 7-1] 변환 필요 데이터
변수 이름 |
내용 |
FullBath |
Full bathrooms above grade |
HalfBath |
Half baths above grade |
[Table 7-2] 변환 필요 데이터
5. 결론
3-[2] 관찰에서 [‘MoSold’ 빈도 그래프를 그려 월별 판매량을 확인하면, 5-7월에 집 판매량이 많은 것을 확인할 수 있습니다. 어떤 유형의 집이 많이 팔렸는지, 공통점이 있는지 확인해볼 필요가 있습니다.]라고 했습니다. 확인 결과 5-7월에 판매되는 집에 특별한 공통점이 있지는 않습니다.
Figure 9와 10을 확인하면, 두 그래프의 모양과 판매 개수가 거의 같다는 것을 알 수 있습니다. 여름과 그 외 계절에 판매되는 집의 가격대는 대부분 유사하나, 여름에 고가의 집이 더 많이 판매됩니다.
여름에 판매되는 집의 개수가 그 외 계절에 판매되는 집의 개수의 합과 유사한 것을 보아, 여름이 시작되는 시기에 주택 구매 시즌도 함께 시작된다는 것을 알 수 있습니다.
매월 판매되는 고가 주택의 평균 가격을 계산하면, 초봄에 급상승했다가 감소하고 여름에 다시 증가합니다. 이는 초봄에 새로 상장되는 주택이 고가이기 때문이라고 추정할 수 있습니다.
집의 전반적인 상태를 나타내는 ‘OverallCond’ 변수를 함께 고려해 보았을 때, 일반적으로 여름에는 집의 상태에 비해 높은 가격에 구매하게 됩니다. 일반적으로 겨울에는 여름에 비해 같은 상태의 저택을 저렴하게 구매할 수 있지만, 선택의 폭이 적습니다.
'Data' 카테고리의 다른 글
데이터 기반 의사 결정(data driven decision making) (0) | 2021.04.19 |
---|---|
이상 탐지 기법 (0) | 2021.04.12 |
빅데이터의 정의와 데이터 수집, 저장 (0) | 2021.04.11 |
이미지 데이터가 부족할 때 생기는 문제(과적합; Over-fitting) 완화 방안 (0) | 2021.04.04 |
[자연어처리]파이썬으로 데이터전처리하기 (0) | 2021.03.30 |